Por su importancia, Cubahora publica el contenido de la Gaceta Oficial No. 13 Extraordinaria de 18 de julio de 2019 del Ministerio de Trabajo y Seguridad Social sobre el aumento de salario para pensionados y trabajadores del sector presupuestado.
TRABAJO Y SEGURIDAD SOCIAL
GOC-2019-627-EX13
RESOLUCIÓN 16
POR CUANTO: La Constitución de la República de Cuba en su artículo 68 establece que el Estado garantiza la protección adecuada a toda persona que trabaja, mediante el sistema de seguridad social, cuando se encuentra impedida de laborar por su edad, mater-nidad, paternidad, invalidez o enfermedad y por la Ley No. 105, “De Seguridad Social”, del 27 de diciembre de 2008, se regulan el régimen general, los regímenes especiales y de asistencia social.
POR CUANTO: El Acuerdo No. 8332 del Consejo de Ministros, del 23 de marzo de 2018, dispone en su apartado primero que el Ministerio de Trabajo y Seguridad Social es el organismo de la Administración Central del Estado encargado de proponer, dirigir y con-trolar la política del Estado y el Gobierno en materia de trabajo, seguridad y salud en el trabajo, seguridad social y prevención, asistencia y trabajo social.
POR CUANTO: Se ha decidido incrementar las pensiones por edad e invalidez total, inferiores a 500 pesos, otorgadas a los pensionados de la citada Ley No. 105, “De Seguridad Social”, por lo que resulta necesario derogar las resoluciones No. 4780, dictada por el ministro presidente del Comité Estatal de Trabajo y Seguridad Social, del 28 de octubre de 1984, que establece el aumento de un treinta (30) por ciento de su propio monto, en las pensiones por edad, invalidez total y por causa de muerte a los beneficia-rios que residen permanentemente en el municipio de Caimanera, provincia de Guantánamo y No. 19, dictada por la que suscribe, del 30 de octubre de 2018, que dispone el incremento de las pensiones por edad e invalidez total de los jubilados del Régimen General de Seguridad Social, así como las prestaciones monetarias temporales del Régimen de Asistencia Social.
POR TANTO: En el ejercicio de las facultades que me han sido conferidas en el artículo 145, inciso d) de laConstitución de la República de Cuba,
PRIMERO: Incrementar la pensión de los jubilados del Régimen General de Seguridad Social, beneficiados con el incremento aprobado mediante la Resolución No. 19, dictada por la que suscribe, del 30 de octubre de 2018, de 242 a 280 pesos mensuales.
SEGUNDO: Los jubilados no comprendidos en el apartado anterior que cobran pen-siones de 242 hasta 499 pesos mensuales, reciben un incremento gradual hasta 500 pesos mensuales.
TERCERO: Las pensiones que se conceden por el Régimen General de Seguridad Social previstas en los apartados primero y segundo, se incrementan en correspondencia con la escala siguiente:
| Cuantía de la pensiónpor el Régimen Generalde Seguridad Social vigente | Cuantíade la pensión actual | Cuantía de la pensión incrementada a percibir |
| Hasta 105 pesos | 242.00 | 280.00 |
| De 106 a 160 pesos | 242.00 | 300.00 |
| De 161 a 210 pesos | 270.00 | 320.00 |
| De 211 a 250 pesos | 305.00 | 305.00 |
| De 251 a 300 pesos | 340.00 | 385.00 |
| De 301 a 399 pesos | Incrementada en 40 pesos cada una hasta 400 pesos | Incremento de 45 pesos cada una |
Las pensiones comprendidas desde 401 a 455 pesos mensuales, reciben un incremento de 45 pesos cada una y desde 456 hasta 499 pesos mensuales, se elevan hasta 500 pesos. CUARTO: El incremento de las pensiones por muerte concedidas con anterioridad a la entrada en vigor de la presente Resolución, se realiza sobre la cuantía del causante, concediéndole al beneficiario la cuota parte que le pertenezca, según lo establecido en la Ley No. 105, “De Seguridad Social”, del 27 de diciembre de 2008.Igual procedimiento se emplea en las nuevas pensiones que se concedan por esta causa.
QUINTO: Se mantiene el incremento de 70 pesos mensuales a los núcleos familiares que reciben prestaciones monetarias temporales de la Asistencia Social.
SEXTO: Quedan encargados de la ejecución de lo que por la presente se dispone, el Instituto Nacional de Seguridad Social, con respecto a las pensiones del Régimen de Se-guridad Social, así como el Ministerio de Trabajo y Seguridad Social y las direcciones de trabajo de los consejos de la Administración provinciales y municipales en relación con las prestaciones monetarias temporales de la Asistencia Social.
SÉPTIMO: Derogar las resoluciones No. 4780, dictada por el ministro presidente del Comité Estatal de Trabajo y Seguridad Social, del 28 de octubre de 1984 y No. 19, dictada por la que suscribe, del 30 de octubre de 2018.
OCTAVO: Lo dispuesto en la presente Resolución es de aplicación a partirdel 1 de julio con los pagos que se realizan en el mes de agosto de 2019.
ARCHÍVESE el original en el protocolo de resoluciones generales que obra en la Dirección Jurídica del Ministerio de Trabajo y Seguridad Social.
PUBLÍQUESE en la Gaceta Oficial de la República de Cuba.DADA en La Habana, a los 9 días del mes de julio de 2019.
Margarita M. González Fernández
POR CUANTO: Se ha decidido incrementar el salario de los trabajadores que laboran en el sector presupuestado, para estimular la responsabilidad por desempeñar cargos de dirección y la promoción a cargos en los organismos de la Administración Central del Estado y los órganos de Gobierno, por lo que resulta procedente dejar sin efecto determi-nados preceptos de normas jurídicas dictadas por los titulares del Ministerio de Trabajo y Seguridad Social, que establecen disposiciones salariales, para adecuarlas a los cambios aprobados.
POR TANTO: En el ejercicio de las facultades que me han sido conferidas en el artículo 145, inciso d) de la Constitución de la República de Cuba,
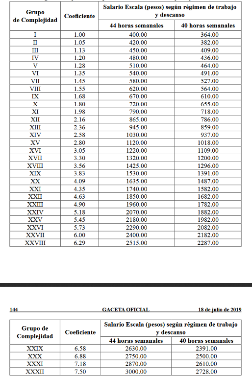
RESUELVO PRIMERO: Aprobar la escala y tarifas salariales de aplicación a los trabajadores de todas las categorías ocupacionales que laboran en las unidades presupuestadas:

SEGUNDO: Las ocupaciones y cargos de las categorías ocupacionales se ubican en los grupos de las escalas siguientes:a) Las ocupaciones de trabajadores de servicios desde el grupo I al VI, ambos inclusive;b) las ocupaciones de trabajadores administrativos, desde el grupo III al VII, ambos inclusive;c) las ocupaciones de operarios, desde el grupo II al VIII, ambos inclusive;d) los cargos técnicos desde el grupo V al XXIV, ambos inclusive;e) los cargos de cuadros desde el grupo IV hasta el XXXII. TERCERO: Establecer los grupos de complejidad de los cargos técnicos con requisito de calificación de nivel superior de la manera siguiente:
Grupo de complejidad
| Actual | Aprobado |
| IX | XIV |
| X | XV |
| xI | XVI |
| XII | XVII |
CUARTO: Establecer para el cargo de Especialista Superior de Cuadros el Grupo de complejidad XXIII.
QUINTO: Establecer para los recién graduados durante el período de cumplimiento del Servicio Social, cuando no ocupan plazas, los salarios mensuales siguientes:
| Nivel | Salario Mensual | Salario Mensual |
| Régimen de trabajo y descanso 44 horas semanales | Régimen de trabajo y descanso 40 horas semanales | |
| Medio y Medio Superior | 510.00 | 464.00 |
| Ciclo Corto y Nivel Superior | 865.00 | 786.00 |
SEXTO: Aprobar para el cargo de Encargado de Almacén, perteneciente a la categoría ocupacional de trabajadores de servicios, en correspondencia con la clasificación del al-macén, los grupos de complejidad y nivel de utilización siguientes:
| Cargo | Grupo de complejidad | Nivel de utilización |
| Encargado de almacén | VI | Almacén categoría A |
| Almacén categoría B | ||
| Almacén categoría C |
SÉPTIMO: Para la aplicación de lo establecido en el apartado anterior, se utiliza la clasificación de los almacenes establecida por el ministro de Comercio Interior.
OCTAVO: Aprobar el cargo de jefe de Oficina de Control de Información Clasificada (OCIC), para utilizarse en órganos, organismos y entidades nacionales, con un salario mensual de 1120 pesos.
NOVENO: Aprobar para el cargo de secretaria ejecutiva, perteneciente a la categoría ocupacional de técnicos, en correspondencia con el nivel de dirección que asiste, los sa-larios siguientes:
| Nivel de dirección | Salario mensual |
| Directivos superiores | 670.00 |
| Directivos y ejecutivos cuando corresponda | 620.00 |
DÉCIMO: Mantener los pagos adicionales mensuales siguientes:
1. Por condiciones laborales anormales, turnos rotativos, regímenes especiales de trabajo y condiciones especiales de trabajo, según lo regulado en normas específicas;
2. por trabajar en turnos nocturnos, en las cuantías de 0.08 centavos por hora de 7:00 p.m. a 11:00 p.m. y 0.16 centavos por hora de 11:00 p.m. a 7:00 a.m.;
3. 80 pesos por ostentar la categoría de máster o la especialidad equivalente reconocida por el Ministerio de Educación Superior y de 150 pesos por el grado científico de doctor;
4. coeficiente de interés económico social del treinta (30) por ciento del salario básico para los trabajadores que laboran en el municipio de Caimanera, provincia de Guantánamo;
5. por simultanear con el cargo de origen, la operación de grupo electrógenos, con cuantías de 50 pesos para grupos electrógenos de hasta 200 Kva y 60 pesos mensuales para grupos electrógenos de 201 a 1000 Kva.
UNDÉCIMO: Los pagos adicionales por maestría y doctorado se reciben por una sola titulación, siempre que los profesionales desempeñen un cargo con exigencias de nivel universitario.
DECIMOSEGUNDO: Se deja sin efecto la retribución del setenta (70) por ciento del salario correspondiente a los sábados en los regímenes de trabajo y descanso en las enti-dades donde está autorizado.
DECIMOTERCERO: Se dejan sin efecto los sistemas de pago y estimulación que se aplican en las unidades presupuestadas, con excepción de los aprobados para las acti-vidades de higiene comunal de las administraciones locales, al Equipo de Servicios de Traductores e Intérpretes (ESTI) y para la producción y realización de programas de radio y televisión, incrementando el salario escala, sin crecimiento del fondo de salario planificado.
DECIMOCUARTO: Se dejan sin efecto para los trabajadores que laboran en entidades presupuestadas los pagos adicionales mensuales siguientes:
1. De 30 pesos para los cargos técnicos;
2. del perfeccionamiento empresarial en las entidades autorizadas a aplicarlo;
3. para el cargo de secretaria ejecutiva según el nivel de dirección que asiste;
4. por certificación de áreas contables;
5. de 65, 55, 25 y 15 pesos para el encargado de almacén, según sus categorías;
6. de 50, 40 y 30 pesos para el cargo de operador A, B y C de grupos electrógenos.
DECIMOQUINTO: Mantener excepcionalmente, mediante dispensa salarial, los sala-rios que actualmente reciben los trabajadores en cuantías superiores a las que resulten del incremento dispuesto por la presente, mientras permanezcan en el cargo.
DECIMOSEXTO: El pago por la Contribución Especial de la Seguridad Social se realiza según lo establecido por el ministro de Finanzas y Precios
DECIMOSÉPTIMO: Se deja sin efecto, para la actividad presupuestada, la aplicación de las resoluciones siguientes:
1. Resolución No. 3914, dictada por el ministro presidente del Comité Estatal de Trabajo y Seguridad Social, del 27 de noviembre de 1984, que aprueba un pago adicional para las secretarias ejecutivas.
2. Resolución No. 2, dictada por el ministro de Trabajo y Seguridad Social, del 4 de enero de 1999, que regula la formación y preparación de los técnicos y especialistas en contabilidad y establece la estimulación económica a los trabajadores que desarrollan esta tarea.
3. Resolución No. 11, dictada por el ministro de Trabajo y Seguridad Social, del 23 de abril de 2005, que aprueba el salario mínimo de la escala.
4. Resolución No. 30, dictada por el ministro de Trabajo y Seguridad Social, del 25 de noviembre de 2005, que establece la escala salarial única.
5. Apartado primero de la Resolución No. 15, dictada por el ministro de Trabajo y Seguridad Social, del 9 de enero de 2006, que establece los pagos adicionales a los operadores de grupos electrógenos.
6. Resolución No. 165, dictada por el ministro de Trabajo y Seguridad Social, del 24 de mayo de 2006, que aprueba el salario para el cargo de encargado de almacén.
7. Artículo 43 de la Resolución No. 1, dictada por el ministro de Trabajo y Seguridad Social, que aprueba el Reglamento sobre las relaciones laborales de los trabajadores del Sistema de Seguridad y Protección Física, del 15 de enero de 2007.
8. Apartado decimonoveno y Anexo único de la Resolución No. 6, dictada por el minis-tro de Trabajo y Seguridad Social, que aprueba las formas y sistemas de pago, del 21 de marzo de 2016.
DECIMOCTAVO: Lo dispuesto en la presente Resolución se aplica a partir del 1 de julio con los pagos de salarios que se realizan en el mes de agosto de 2019.A
ARCHÍVESE el original de la presente en el protocolo de resoluciones generales que obra en la Dirección Jurídica del Ministerio de Trabajo y Seguridad Social.
PUBLÍQUESE en la Gaceta Oficial de la República de Cuba.
DADA en La Habana, a los 17 días del mes de julio de 2019.
Margarita M. González Fernández

Piloto
4/1/21 18:57
Hola, soy trabajador del ministerio del turismo, me desempeño como Patrón de Embarcaciones Turísticas contratado por una Compañía Extranjera, mi pregunta es: Si por mi contrato, dicha compañía paga cerca de 800 euros mensuales a Marina Marlin, cómo se aplica en mi caso el pago por destajo o por resultado.
martin leyva
12/12/20 20:28
Hola mi pregunta es la siguente, ahora con todos estos cambio y aumentos que bamos a recibir, y todo lo que debemos pagar, entre electricidad, agua, canasta basica. y el descuento del 5 porciento del salario sobreo el ingreso salaria, y demas cosas, cuanto se pagara por la cuota cindical. que de esto no he visto nada en las noticias.
Rosmery
11/12/20 18:51
Este cambio fue una buena decisión pero me preocupa los empleos de trabajo porque como me sucede a mi le pasa ambas mujeres tengo un niño chiquito me lo cuidan por el día pero de noche no puedo trabajar y necesito empleo
WilliansDelgado
18/9/20 8:00
Quisiera saber porque a los técnicos de anatomía patológica no le pagan un salario correspondiente ya que pasan demasiado trabajo y no tienen ninguna condición y su salario básico es de 560 Mn muy poco para el trabajo que desenvuelve se debería 0agar no menos de 800 por lo menos porque es un abuso lo que tienen con los evisceradores de cadáver y no le dan un curso de superación
Maite cabrera perez
6/3/20 10:53
Soy licenciada en enfermería ocupando el cargo de vicedirectora de higiene y epidemiología de un área de salud aplanada y decearia saber cuál será mi aumento de salario y la tarifa total a recibir
María Jesús neuralgia guia
26/2/20 19:19
Soy encargada de almacén de víveres desde el año 1986 llegará al cargo que Ocupo el nuevo aumento salarial no estoy segura de la nueva ley hay algo Qué todavía no entiendo soy de los no presupuestados.fibrocemento Artemisa.
joseluis
3/2/20 16:10
necesito saber como será el aumento para las empresas, soy del grupo XIV, jefe de departamento de contabilidad y finanzas
saludos
Dairelis
23/8/19 10:26
quiero saber cuanto debe ganar un lic. en higiene y epidemiologia, tengo muchas dudas
Secretaria
12/8/19 14:51
Soy de la Provincia de Camagüey he recibido con satisfacción el incremento salarial; pero tengo duda en el salario que se me aplica. La Resolución No.25 en su apartado Noveno dice textualmente:
Aprobar para el Cargo de Secretaria Ejecutiva, perteneciente a la Categoría Ocupacional de Técnicos en correspondencia con el nivel de dirección que asiste los salarios siguientes: Directivos Superiores 670.00 de salario mensual y directivos y ejecutivos cuando corresponda 620.00. ¿Entonces por qué en mi provincia se nos efectúa el pago de 540.00 pesos?
Consultando por vía telefónica con 4 municipios de igual número de provincias y se efectuó el pago según lo establecido en la Gaceta Oficial…. Si me pudieran explicar Gracias
Nety
30/7/19 15:00
Primeramente, quiero agradecer a todos los que tuvieron que ver con este incremento salarial al sector presupuestado, por haber pensado en nosotros y buscar la forma de beneficiarnos, MUCHAS GRACIAS, en nombre de todos los trabajadores de Educación. Trabajo en el Centro de Diagnostico y Orientación del municipio de Caibarien Provincia de Villa Clara y debo expresar que tengo dudas en cuanto a nuestra situación y creo además que es el sentir de los trabajadores de los CDO, que sin temor a equivocarme y afirmo que todos los que integramos esos equipos somos defectólogos en su gran mayoría Licenciados en Educación Especial además que un buen grupo ostenta la categoria de Master, trabajamos con niños adolecentes y jovenes de las diferentes enseñanzas con NEE, cual seria nuestro asombro que el plus que se nos pagaba por esto se nos fue retirado, pero tampoco nos tuvieron en cuenta como parte de las direcciones municiples y provinciales, mi pregunta es que somos, a donde pertenecemos por que se nos paga como maestros de la Enseñanza Primnaria y no es que que tenga a menos esto pero se nos pagoó por el grupo salario escala nro XVlll, 1425.00 +antiguedad+mas si eres master. Quisiera si son tan amables de dar una respuesta convincente a estas interrogantes o al menos saber a donde dirigirme para eso (siempre nivel municipal o provincial). dejo en sus manos mi interrogantes que es la misma de todos los equipo de los CDO. MUCHAS GRACIAS
ANY
30/7/19 11:17
Primeramente quiero agradecer a todos los que tuvieron que ver con este incremento salarial al sector presupuestado, por haber pensado en nosotros y buscar la forma de beneficiarnos, hoy quiero decirles MUCHAS GRACIAS. Sé que diez pesos que le aumenten a uno son 10 pesos más que uno tiene para poder comprar 2 barras de pan.
Me llama mucho la atención como en el sector de salud que es al que pertenezco los trabajadores que están en el grupo salarial V que anteriormente ganaban 405 pesos se le incrementa 105 pesos y la mayoría son trabajadores con 12 grado nada más, no es que este en desacuerdo con ese incremento que se le hace sino que no entiendo en mi caso que soy de la escala salarial XIII y tengo nivel superior y soy propia de la Salud solo me aumentan 85 pesos, me parece que los implicados en esto deberían hacer una revisión y análisis más profundo. Quisiera que tuvieran en cuenta esta inquietud mía y analizaran mi planteamiento. Una vez más gracias por esos 85 pesos que me incrementaron.
jiscly
29/7/19 13:47
Saludos, trabajo en el Hospital Psiquiátrico de Cienfuegos y no para menospreciar el trabajo de nadie, no puedo entender que una trabajadora de recursos humanos, con 12 grado de escolaridad, por nomenclatura al cargo vayan a ganar casi lo mismo que yo que soy especialista de primer grado en psicologia de la salud y más que un licenciado en salud, empleo licenciado en Psicología, en farmacia, entre otros.
nisdany
24/7/19 10:39
como se entiende que una unidad presupuestada provincial que presta servicio a la direccion provincial de educacion sancti-spiritus los jefes cobren por el gobierno y los tecnicos por el ministerio de educacion respuesta que se me dio por la diferencia tan grande del aumento de salarios entre unos y otros me pregunto a quien dirigen esos jefes
QUISIERA QUE ALGUIEN ME EXPLICARA
nisdany
24/7/19 9:29
no entiendo la diferencia a la hora del aumento estoy de acuerdo que los jefes de departamentos,especialistas y hasta directivos de las unidades que ocupan plazas hasta sin ser universitarios cobren mas pero por que la tan excesiva diferencia con los que ocupamos plazas de tecnico que solo se nos aumento 155 pesos mientras que al resto antes mencionados mas de 1000 pesos en realidad no lo entiendo o es que estamos llamados a desaparecer
Annie Piña Mogena
23/7/19 12:29
Saludos, trabajo en un Policlínico del municipio Bayamo provincia de Granma, como técnico en ciencias informáticas, del grupo de complejidad de los cargos técnicos X, el cual en la resolución 25 está aprobado al grupo XV, solo para los cargos técnicos con requisito de calificación de nivel superior, en lo que no estoy de acuerdo ya que la diferencia entre los especialistas y nosotros los técnicos que actualmente solo es de $135.00 ya que no existe gran diferencia en el contenido de trabajo, ahora pase a ser de 400 pesos, siendo nuestro salario aprobado de $720.00 y el de ellos $1120.00.
Rosy
23/7/19 8:27
Buenos días el incremento salarial ha sido muy bueno y nosotros los que trabajamos en las delegaciones municipales de la Agricultura nos vamos a beneficiar pero realmente no sabemos cuanto. Se buelve hablar del sector presupuestado y sigue la Agricultura sin mencionarse siempres se dirigen a la educación y la salud.
Ambar
22/7/19 12:20
BUENOS DIAS, CREO EL INCREMENTO SALARIAL A SIDO MUY BUENO PARA TODOS, PERO QUIERO QUE ME EXPLIQUEN UNA DUDA, YO TRABAJO EN UNA SUBDIRECCION DE EDUCACION PROVINCIAL , Y ME PAGAN COMO TECNICO, PERO A LA VES HAGO LA FUNCIÓN DE SECRETARIA , ME PUEDEN DECIR QUE SALARIO PUEDO DEVENGAR, GRACIAS
mayra jiménez Pedraza
22/7/19 10:06
Recibo una pensión como viuda de 50.00 pesos, quisiera saber cuanto debo cobrar ahora. soy viuda trabajadora.
Saludos
Mayra Jiménez
Chela
20/7/19 8:56
Saludos. Laboro en una Unidad Presupuestada, desempeñándome como Cuadro.
Quisiera señalar un detalle que observo en las excelentes Resoluciones que han sido recientemente aprobadas, las número 16, 24, 25 y 27 de 2019 del MTSS, que con tanto anhelo hemos estado esperando. Principalmente las número 25 y 27.
Guarda relación con el tema DISPENSAS, pero antes permítanme una pequeña introducción.
Entre las diferentes motivaciones al trabajo, en su interconexión con las dispensas; podrían compararse par de ejemplos:
Nombre del Trabajador (1). Escolaridad (Bachiller). Cargo a Desempeñar (X). Requisito de Calificación (Graduado de Nivel Superior). Motivación ante el Trabajo (Realización Personal). Salario del Cargo (400.00). Salario luego de la Dispensa (400.00).
Nombre del Trabajador (2). Escolaridad (Universitario). Cargo a Desempeñar (X). Requisito de Calificación (Graduado de Nivel Superior). Motivación ante el Trabajo (Compromiso con la Dirección). Salario del Cargo (400.00). Salario luego de la Dispensa (555.00).
En el ejemplo del Trabajador 1, la dispensa se emite porque no cumple el requisito de calificación formal para ocupar la plaza. Caso en que el Trabajador 1 recibe con agrado la dispensa, aún cuando el salario sea bajo, motivándose hacia el trabajo en su realización personal.
En el ejemplo del Trabajador 2, la dispensa se emite porque procede de un Sector mejor remunerado donde devenga un salario mayor.
El Trabajador 2 se siente comprometido con la Administración en el sentido de echar pa’lante la organización laboral y lograr resultados. Viendo en esa causa su principal motivación hacia el trabajo.
No obstante, solicita se le considere el salario de procedencia, mediante el cual devenga 155 pesos más que con el de la plaza. En base a ello que se emite la dispensa.
Me atrevo asegurar que los ejemplos de los Trabajadores 1 y 2 se dan con bastante frecuencia en muchas de las UP del país.
Con la puesta en vigor de la Res. 25, en el caso del Trabajador 2 NO HAY PROBLEMAS. Al ser universitario, se ve reflejado en el Resuelvo Decimoquinto.
Pero con el ejemplo del Trabajador 1 hay que profundizar en el análisis -que por supuesto es más complejo- y que NO VIENE TIPIFICADO EN LA LEY
Excepto en el Resuelvo Decimosegundo de la Res. 27., donde se mencionan los Supervisores Integrales, haciendo la distinción entre aquellos de nivel superior y los de nivel medio.
- Por un lado se puede afirmar que muchos bachilleres que recibieron dispensas en las UP, para puestos de nivel superior, se han esforzado en el cumplimiento de sus contenidos y tareas. Han sido útiles y han permanecido allí, en el día a día, cuando nadie quiso ocupar esos cargos.
- Tampoco es menos cierto que son personas buenas, cuyos estudios personales quedaron un tanto por debajo respecto a los egresados de nuestras universidades. Máxime cuando hoy día la sociedad avanza y se renueva constantemente, por lo que se requiere una mayor aplicación de los adelantos científico-técnicos, lo cual es más factible en los graduados de nivel superior.
- Y como es lógico, hoy las miradas estarán centradas en las modestas entidades presupuestadas... Las mismas que permanecen en sus sitios..., por los que pasamos camino al trabajo o de regreso a casa..., y donde nunca hicimos un alto para observarlas detenidamente.
· Nadie recordará aquellas vacantes de nivel superior que pasaban meses sin cubrirse, que ante el déficit de universitarios interesados en ocuparlas (desmotivados por los bajos salarios), finalmente tuvieron que ofertarse a través de dispensas a trabajadores que solo contaban con el 12mo. grado, pero que poseían otros tipos de motivaciones hacia el trabajo.
· Ahora podrán asombrarse cuando escuchen que un BACHILLER, al ocupar una plaza de nivel superior a la cual accedió por una DISPENSA en el pasado, podría devengar un salario incluso bastante superior a los 1000 pesos.
- Quizás la SOLUCIÓN pueda hallarse en algo parecido al citado Resuelvo Decimosegundo de la Res. 27
RESUELVO XXXXX: Cuando entre los requisitos de calificación formal para ocupar el cargo se exija el estar graduado de NIVEL SUPERIOR, no poseyéndolo el titular de la plaza, aunque en el MOMENTO ocupando la misma a través de DISPENSA otorgada antes de la presente resolución; procede de la forma siguiente:
Provincia: 790.00 Municipio: 786.00
Sólo cuando el SALARIO oficial del cargo sea respectivamente SUPERIOR a los antes mencionados. Lo cual tendrá validez por ÚNICA VEZ, a partir de la fecha de aplicación de lo dispuesto en la presente Resolución.
En definitiva eso es lo que deseaba expresar:
QUE LA NUEVA LEGISLACIÓN NO ES EXPLÍCITA RESPECTO AL TRATAMIENTO SALARIAL CON LOS TRABAJADORES QUE OCUPAN PUESTOS DE NIVEL SUPERIOR MEDIANTE DISPENSA.
Joao Pérez Hernández
19/7/19 20:24
En el caso de los choferes de los vicepresidentes de los gobiernos porque se incluyen dentro del Grupo de Complejidad IV donde ganan 480 $ será justo yo pienso que no por que somos los más sacrificados empezamos una larga y dura jornada laboral sin tener la más mínima idea de cuando terminamos muchas beses incluyendo los fines de semanas somos los primeros en levantarnos y los últimos en acostarnos siempre pendientes de que el auto este en óptimas condiciones para un nuevo día garantizando la puntualidad ,y siedo responsables de la vida de los mismos revolucionaria mente
ETell
19/7/19 15:14
No logro saber cuánto ganaría un corrector de prensa en medio categoría II, alguien puede responder
sachiel
19/7/19 13:19
Gracias!!!!
Luis Raymundo Ortiz Antunez
6/10/20 12:24
Por medio de la presente comento, y digo muchos de nusetros conciudadonos reflejan muchas satisfacciones por el aumento salarial, pero sin embargo no miran los contra que ocasionará este estimulo ya que al no haber productividad se reflejará una inflación, cosa esta que probocará un aumento en los productos básicos de nuestra población a causa de los desabastecimiento y el exeso de circulante ahy que recogerlo esto sucede esto suced en cualquier sistema que se viva, por lo cual tendremos que buscar mecanismo para insectivar la agricultura realizando estudios de pago donde se vea la productividad y el obrero vea sus necesidades satisfecha para de esta forma alcanzar una eficiencia agro alimentaria, es por esto que nuestros efuerzo hoy se llaman estrategia,busqueda de soluciones en este sentido agropecuario, ya que nuestro país siempre ha sido y será agricola por lo que tenemos que basar el desarrollo de nuestra fruto que son las grandes extenciones de tierra que poseemos, es muy sierto que la caña fue unos de los renglones principales de nuestra economia así mo el niquel el café que este ultimo callo en un gran % los motivos los desconosco pero retomemos esto con mecanismos estudios, no se si entregando a los campesinos equipos y maquinarias para un desarrollo en este sentido, tambien se que el desarrollo del turismo es mas efciente y la lliquidez llega mas rapido a la economia nuestra pero no podemos descuidar lo primordial el sosten nuestro al agricultura, tambien se que hoy trancita nuestro país dificilicimos, por lo que no dejo de reconocer que hay retomar los medios tradionales como la yunta de bueyes y otros medios, pero hay que tener en cuenta que en aquellos tiempo el cambio climatico no era tan recio como en nuestros días, los medio de trabjo no cuentan con la calidad de aquella era, la falta de insumo por los motivos que hoy conoce todo cubano, pero reflexionemos y centremonos en que la solocion al problema que hoy existe, si reflexiono eso es porque a pesar de los efuerzo del pais por deterner la delincuencia, en los tiempo que se abecinan ira en crecimiento y loq ue hoy s una sociedad segura se convertirá en algo muy duro par nuestro juvenes y niño que es por lo que hemos vivido a lo largo de toso estos año, naci con la revolución y he crecido al lado de ella y si tengo que sacricarme por ella lo aria sin titubiar
Términos y condiciones
Este sitio se reserva el derecho de la publicación de los comentarios. No se harán visibles aquellos que sean denigrantes, ofensivos, difamatorios, que estén fuera de contexto o atenten contra la dignidad de una persona o grupo social. Recomendamos brevedad en sus planteamientos.